在量子科技飞速发展的今天,量子信息处理和量子计量学成为了科研领域的前沿热点。近日,一项由sm调教 张成杰教授课题组的研究,在量子费舍尔信息(QFI)与量子相干性之间的动态关系上取得了突破性进展。该研究不仅在理论上建立了两者之间的分解关系,更通过实验进行了验证,为量子参数估计和量子传感领域带来了全新的视角和潜在应用。

量子参数估计是众多科学与技术领域中的核心课题,其目标是高精度地确定量子系统的未知参数。量子费舍尔信息作为量子参数估计的主要工具,能够衡量量子态对参数变化的敏感度,并给出量子Cramér-Rao下界(QCRB),它定义了量子参数估计精度的理论极限。而量子相干性作为量子信息处理的关键资源,对于提升量子计量任务的性能起着至关重要的作用。然而,尽管两者在量子计量学中都扮演着重要角色,它们之间的精确关系却一直未被充分探究。
该研究从理论上提出了量子费舍尔信息与量子相干性之间的分解定律。对于纯态情况,该定律表明,在幺正变换下,输出态的QFI受到该系统最大QFI和输入纯态相干性的乘积的限制。基于这一理论,研究团队进一步建立了一个不依赖于最终态信息的估计参数方差的下界,这一成果为量子参数估计提供了新的理论基础。
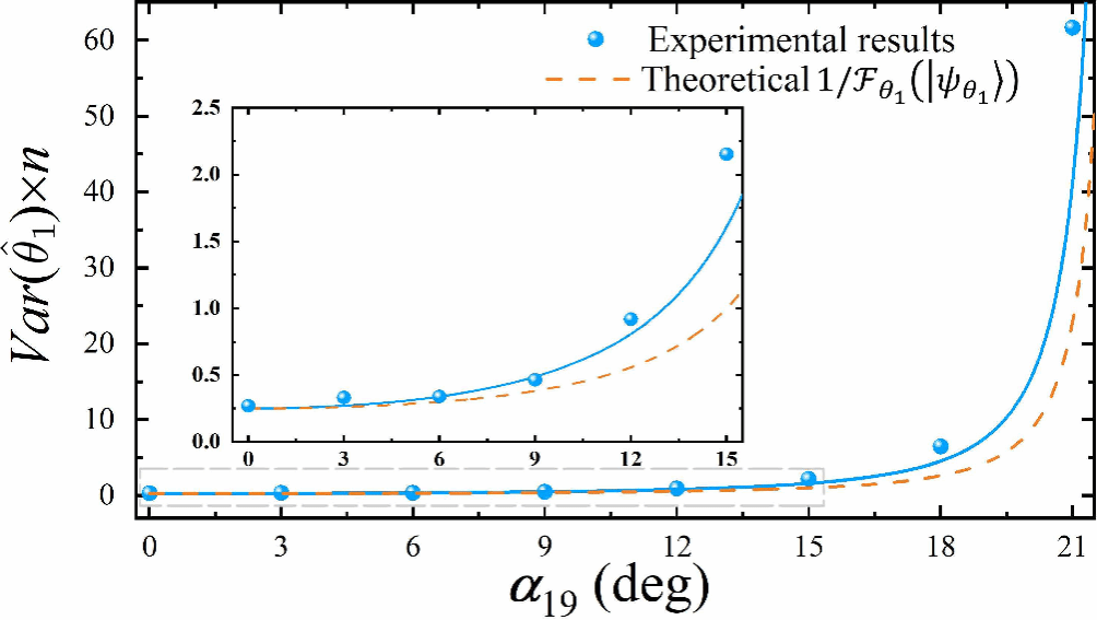
为了验证这一理论,研究团队精心设计并开展了一系列实验。在实验上实现了希尔伯特空间维数D=2和D=3系统下,QFI与量子相干性之间的关系。实验结果与理论预测高度一致,有力地证实了QFI与量子相干性之间的分解定律。这些实验不仅展示了量子相干性作为量子计量学中提升估计精度的资源潜力,还揭示了即使在无法直接测量最终态的情况下,仅通过分析初始态的量子相干性,也能够对参数估计的精度进行有效的推断。实验结果表明,在D=2情况下,通过选择特定的初始态和测量算符,可以实现对参数的最优估计。在D=3情况下,实验团队验证了分解定律的普适性,并在理论上证明了混态输入时QFI与初态相干性之间所满足的动力学关系。

这项研究的成果不仅在理论上丰富了量子计量学的内涵,更为实际应用提供了新的思路。通过优化初始态的量子相干性和量子通道的性质,可以显著提高量子参数估计的精度,这对于量子传感、量子通信以及量子计算等领域都具有重要的意义。未来,研究团队计划将这一理论拓展到更高维度的量子系统,并探索其在更复杂量子环境中的应用潜力。

相关研究以“Factorization dynamics between quantum Fisher information and quantum coherence(量子费舍尔信息与量子相干间的分解动力学)”为题,发表在国际著名期刊《Science Advances》(科学进展)上。sm调教 研究生赵鑫智为该论文第一作者,sm调教 张成杰教授为论文通讯作者,sm调教 为第一完成单位。
sm调教相关的文章链接: